닫기버튼


상단 배너 영역


실시간댓글

[일반] 계산 세번 함

nlv152_43234 Balentine | 2025-04-16 16:41

틀릴때마다 색 바꿨다

이런걸 시험에 내면 안돼돼 계산기 주라고

생각해보니 줘도 안쓸거 같긴한데

nlv152_43234 Balentine
gold

15,778

point

6,360,680

프로필 숨기기

152

65%

 

최신순

게임조선 회원님들의 의견 (총 17개) ※ 새로고침은 5초에 한번씩 실행 됩니다.

새로고침

신고

nlv115_56468 순결한소년 2025-04-16 16:46 0

이걸못풀어? 답은 1아님 0이야

신고

nlv100_6985565 닭느님 2025-04-16 16:49 0

서로소라는말 진짜 15년만에본거같네

신고

nlv126_54168 ㅅㄱㅋ 2025-04-16 19:20 0

서새봄

신고

nlv103_54587654 오늘엔 2025-04-16 16:56 0

한국말좀 해

신고

nlv81 진짜배랭이 2025-04-16 21:49 0

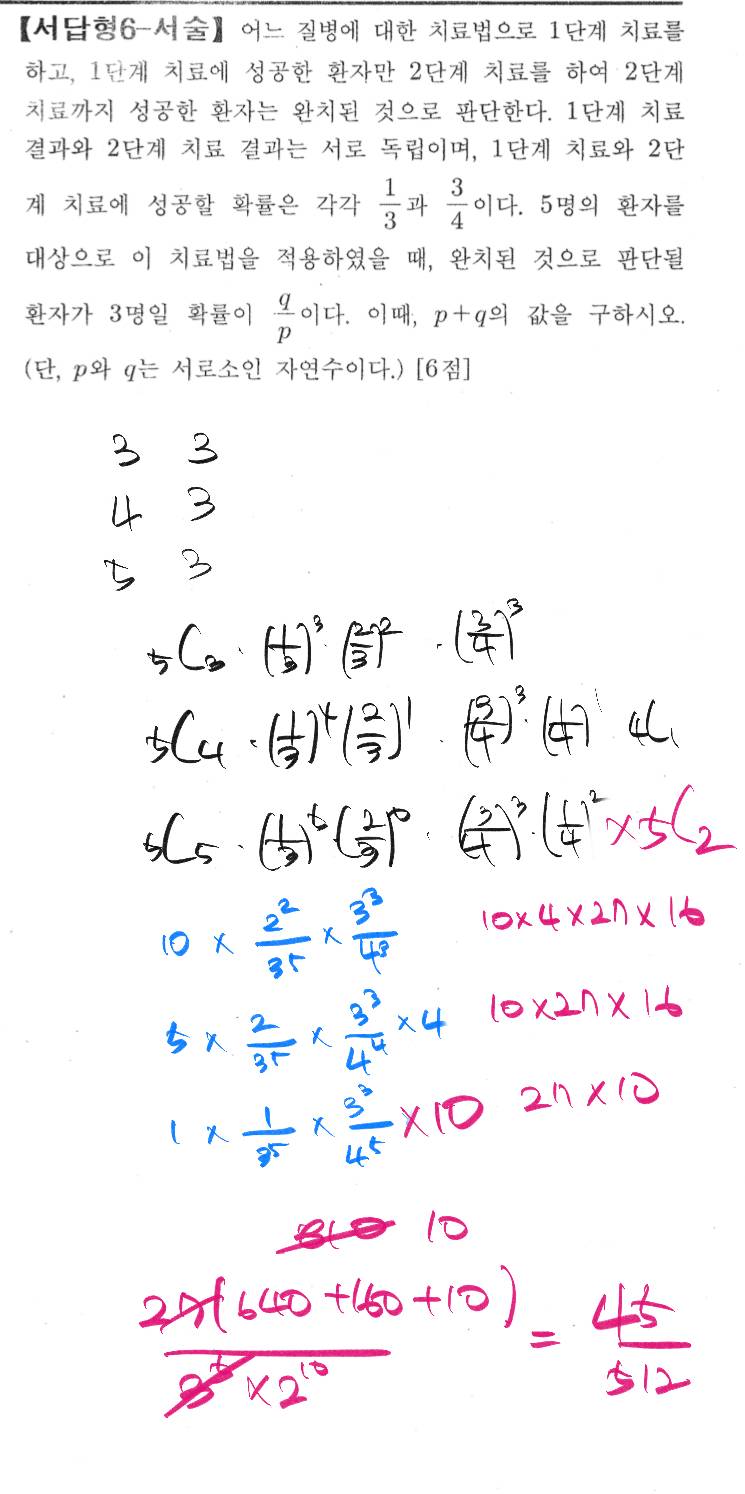
완치 확률이 1/4이니까 5C3 * (1/4)^3 * (3/4)^2하면 되는거 아닙니까

신고

nlv152_43234 Balentine 작성자 2025-04-16 22:27 0

그건 5명중에 3명이 1단계 치료만 성공한거

신고

nlv81 진짜배랭이 2025-04-16 22:43 0

1단계 성공은 1/3아닙니까

신고

nlv152_43234 Balentine 작성자 2025-04-17 03:07 0

1단계치료를 성공한 사람만 2단계 치료를 받을 수 있어서 합치면 곤란함

신고

nlv81 진짜배랭이 2025-04-17 08:01 0

1,2단계가 독립이고 모두 통과해야 완치되는거니까 하나의 시퀀스로 봐서 1/3 * 3/4 = 1/4이 완치 확률
5명중 3명이 완치돼야 하니까 위에 쓴대로 5C3 * (1/4)^3 * (3/4)^2 = 45/512 나오는디 저건 틀린 답인가?

신고

nlv152_43234 Balentine 작성자 2025-04-17 14:26 0

맞네 너무 돌아왔군 어차피 나머지도 치료 안하는건 아니었으니까 중간에 합치면 똑같이 나오겠다
확률 진짜 한참 돌아와서 쉽게 풀리면 허무하고 즐거움ㅠ

신고

nlv127_58481 돌아온너구리 2025-04-16 22:57 0

1차성공한 사람이 4명이면 2차에 3명 성공하는거 아닌가

1차 5명중 4명 성공할확률 구하면되는거아님?

신고

nlv127_58481 돌아온너구리 2025-04-16 23:06 0

아니네

신고

nlv219_0129 월현콩 2025-04-17 08:15 0

5명중에 3명이 나오는 경우 * 3명의 12차 성공확률(1/4) * 2명의 1차or2차 실패확률(3/4) 을 곱하면..

신고

nlv124_5210 래디오스 2025-04-17 12:36 0

답 틀린거 같은데. 45/256 인데

신고

nlv124_5210 래디오스 2025-04-17 12:37 0

배랭이도 똑같이 풀었네. 길게 계산할것도 없는 문제인데. 45/256 맞음

신고

nlv152_43234 Balentine 작성자 2025-04-17 14:26 0

이건 계산 틀렸지 C에서 1/2 안한거 아냐?

신고

nlv124_5210 래디오스 2025-04-29 08:21 0

베렝이가 쓴 수식 = 월현콩이 쓴 수식 이 맞고 그거 계산하면 45/256임.

0/500자

목록 글쓰기 위로 로그인


게임조선 소개및 약관