유투브
블로그
트위터
... 지난 2004년 7월 9일 서비스를 시작한 '십이지천'은 동양 무협 세계관을 배경으로 다양한 액션과 화려한 세력간 전쟁을 선보이며 성인 유저들에게 높은 인기를 얻어왔다. KTH는 7일부터 8월 4일까지 이런 유저들의 꾸준한 사랑 속에서 7주년을 맞게 된 '십이지천'은 3가지
[] 2011-07-07 16:50:28 tester 기자
... ‘슈퍼스타K 시즌3'의 경우 ARS, UCC 등으로 지원이 가능했던 1차 예선이 지난 6월 마감됐으며, 1차 합격자들을 대상으로 한 2차 예선이 진행 중이다. 오프라인을 통한 오디션의 기회는 마감됐지만다행스럽게도 온라인게임을 통한 마지막 도전 기회가 아직 남아 있다.
[리뷰/프리뷰] 2011-07-07 16:50:04 tester 기자
... 리그에 참가하는 선수가 100명이 훌쩍 넘는 상황을 맞이해 무림고수가 넘쳐나는 GSTL 춘추전국시대! "아아아~ 이 선수!" GSTL을 감상하는 유저라면 선수가 등장할 때 해설자는 감탄하지만 정작. .
[e스포츠] 2011-07-07 16:48:43 tester 기자
..."6강PO 삼성전자와 웅진, KT, STX 로스터 발표" 한국e스포츠 협회는 7일 '신한은행 프로리그 10-11' 6강PO의 출전하는 삼성전자와 웅진, KT, STX의 로스터를 발표 했다. 포스트시즌 6강PO는오는 10일과 11일, 12일 3일간 치뤄진며정규리그 3위를 차지한
[e스포츠] 2011-07-07 16:39:08 tester 기자
... 포뮬러모드는 최소 1인에서 최대 4인의 플레이어가 참여할 수 있으며, NPC라이더를 포함 총 20대의 카트가 한 트랙에서 스피드 경쟁을 펼치게 된다. 특히 일반 부스터보다 순간 가속이 월등한 크러시 부스터가 새롭게 추가돼 반전의 재미를 느낄 수 있다고 회사 측은 설명
[] 2011-07-07 16:26:25 tester 기자
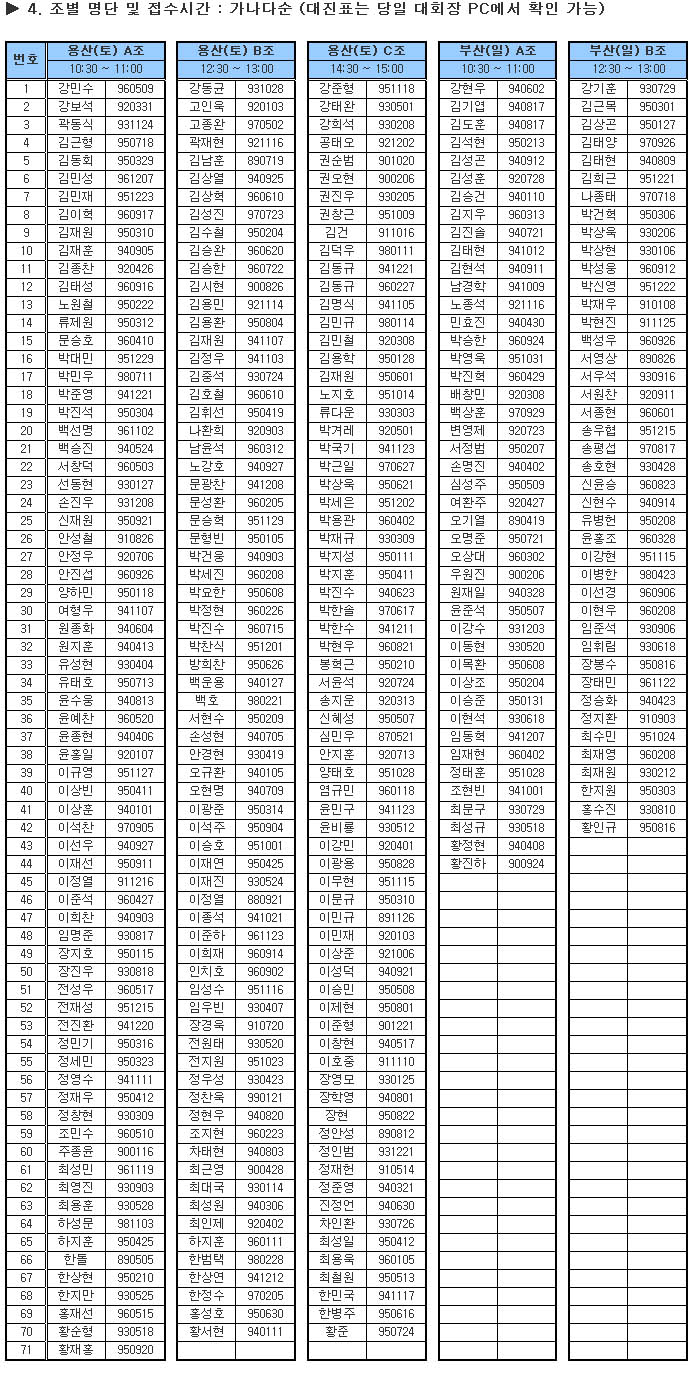
... 이 대회는 서울과 부산에서 동시에 진행되며 원할한 대회 진행을 위해 서울 512명, 부산 256명까지 선착순으로 접수 받아 편성 됐다. 준프로 선발전의 경기 방식은 조별 64강 토너먼트(3전 2선승제)로 진행되고 맵은 라만차1. 1와 네오아즈텍2
[e스포츠] 2011-07-07 16:15:51 tester 기자
...세계 3대 악마게임 중 하나로 불리는 '문명' 시리즈의 페이스북 버전이 7일부터 베타테스트를 시작했다. '문명'의 기본적 재미는 유지한 채 소셜네트워크게임으로 등장한 '문명 월드'는 지난 2009년부터 제작돼 온 것으로, 솔로플레이 위주의 전작과 달리 여러 플레이어들이 힘을
[] 2011-07-07 16:05:21 tester 기자
... 기본 플레이는 무료며 필요에 따라 게임 아이템을 별도로 구매할 수 있는 부분유료화 시스템을 적용했다. 유저간의 1:1 온라인 대결은 마을 내의 아레나에 진입하면 플레이 중인 다른 유저와 랜덤으로 대결을 펼칠 수 있으며, 친구등록 기능 및 이용자가 원하는 대상과도 대결을 할
[] 2011-07-07 16:02:37 tester 기자
...캡콤은 아이폰용 어플리케이션 '스트리트파이터4 볼트 -배틀프로토콜-'의 신규 캐릭터 고우키 등장 법을 공개했다. 고우키는 아케이드모드의 노컨티뉴 상태로 7전 전승을 거두면 섬광과 함께 등장한다. 또, 통신대전에서 100대전을 치르거나 모든 캐릭터로 아케이드 모드에 등장하는
[게임동향] 2011-07-07 15:54:27 tester 기자
... 여기서 승리한 팀들은 준플레이오프에서 대결을 펼치고 준플레이오프 승리팀은 정규리그 2위를 차지한 CJ와 플레이오프를 치룬다. 플레이오프 승리팀은 정규리그 1위 SKT와 최종 결승전을 치뤄 시즌 우승팀을 가리게 된다. ▶ KT, STX - 지난 시즌 1, 2위 팀 간 대
[e스포츠] 2011-07-07 15:54:09 tester 기자
... 카포에라는 브레이크 댄스에서 활용되는 브라질 전통무술 '카포에라'를 사용하는 데서 따온 이름이다. 음악에 맞춰 춤을 추는 듯 리드미컬하고 역동적인 액션을 구사하는 것이 특징. 이와 관련 조이맥스 관계자는 "카포에라의 알록달록한 의상과 고난도 몸동작, 예측할 수 없는 연타
[게임동향] 2011-07-07 15:51:56 tester 기자
... 게임 내에서는 모든 건물이 소총과 저격총, RPG 등의 물리적 공격에 파괴되기 때문에, 게이머는 더 이상 은폐물에 숨어만 있을 수 없어졌다. 실제 전장에서와 마찬가지로 게이머는 끊임없이 움직이며 생동감 넘치고 능동적인 전략적 플레이를 구사해야 한다. 또, 멀티플레이어 모드
[] 2011-07-07 15:43:31 tester 기자
... 1위는 '뉴 건담'으로 애니메이션 '기동전사 건담-역습의 샤아'에 등장했던 연방군의 뉴타입 전용 시작형 모빌슈츠다. 클래식한 외양에 특수무기로 핀 판넬을 탑재해, 신규 스킬 사이코 프레임은 물론 I필드 배리어도 구현하는 등 뛰어난 성능으로 인기를 끌었다. '기동전사 건담 시드
[게임동향] 2011-07-07 15:42:28 tester 기자
... 백호 서버 오픈을 기념한 이벤트도 진행된다. 오늘 12일부터 내달 11일까지 이벤트는 '삼국지W' 백호 서버에 접속한 후 보유하고 있는 포인트로 이벤트 페이지에 생성된 룰렛을 돌리는 방식이다. 룰렛을 돌린 후 당첨 결과에 따라 아이패드2, 문화상품권 등의 상품이 제공된다
[게임동향] 2011-07-07 15:30:51 tester 기자
... '열혈강호W'는 원작 만화와 기존 발표됐던 온라인게임과는 또 다른 무협의 세계를 구현해낸 웹게임이다. 원작 만화인 열혈강호는 94년 연재를 시작으로 누적 판매량 6,600만부를 돌파하는 등 국내 만화계 최고 베스트셀러 중 하나로 손꼽히고 있다. 이후 2005년 온라
[] 2011-07-07 15:19:51 tester 기자
... ※ 관련기사 : [인터뷰] '메트로컨플릭트' 완성도 높아야 공개. .
[게임동향] 2011-07-07 15:13:00 tester 기자
[e스포츠] 2011-07-07 15:12:33 tester 기자
... '파이어폴'을 직접 체험해 보고픈 한국 게이머들의 성원에 힘 입어 기획된 이번 행사에서, 레드5는 현재 개발이 진행 중인 '파이어폴'의 최신 체험판 시연 및 향후 개발 방향에 대해 설명할 예정이다. 레드5는 원활한 행사 진행과 한국 게이머들의 고견을 듣기위해 제임스 맥컬리
[] 2011-07-07 15:09:07 tester 기자
... 또한, 파이렛 블레스, 수영의 달인 등의 고유 스킬을 보유하고 있으며, 70레벨 이상부터는 링크 스킬 시스템을 통해 파이렛 블레스 스킬을 다른 캐릭터에게 전수할 수 있다. 더불어 이번 업데이트를 통해 캐릭터 기본 이동속도를 20% 상향 조정하고 한 슬롯 당 물약 소지 수량을 3배
[] 2011-07-07 15:03:51 tester 기자
... 이후, 현재 진행 중인 개인 리그에서 최종 살아남는 '더파이브' 팀을 포함한 8개의 본선 진출 클랜은 8강 조별 예선 및 토너먼트 방식으로 최종 우승을 향한 승부를 펼치게 된다. 넥슨은 리그 참가 신청 후 온라인 예선을 진행한 모든 유저에게 종합무기세트 아이템을 지급하는 이
[게임동향] 2011-07-07 14:57:38 tester 기자